Conformation of Bovine Serum Albumin as a Function of Hydration Monitored by Infrared Spectroscopy
Joze Grdadolnik
National Institute of Chemistry,
Hajdrihova 19, SI-1000 Ljubljana,
Slovenia
Tel.: +386 01 47 60 200
Fax: +386 01 42 59 244
e-mail:joze.grdadolnik [at] ki.si
Keywords
infrared, protein structure, structure of Amide I band,
H/D exchange, denaturation
Abstract
The secondary structure of bovine serum albumin (BSA) is determined from infrared spectra (cast films, solution in phosphate buffer) by analyzing the structure of Amide bands. Due to strong overlapping of intrinsic bands three classical methods of band decomposition was implemented: Fourier self deconvolution, second derivatives and band fitting algorithm. The initial values for the number of the components and their position was checked with a novel procedure of dry and hydrated H/D exchange. The most dominant band component in Amide I region is the band at 1654 cm-1, which is usually attributed to a-helical structure. Other bands in Amide I region are attributed to various type of turns. Hydration of protein, as well as the solvation of protein in phosphate buffer, induces the radical change in the secondary structure, especially in the population of a-helices. Drying of the protein film causes a partial denaturation. Classical methods for determine the changes in secondary structure are not accurate enough. Moreover, the interpretation of changes can be easily misleading. Hence, the difference spectroscopy was used to clarify the effects of hydration and solvation on the protein secondary structure. The solvated protein was measured in ATR cell. For proper compare the ATR spectrum with the normal transmission one, first optical constant n and k were calculated and later the exact absorption spectrum.
Introduction
Protein hydration has been demonstrated in many three-dimensional structures determined by X-ray diffraction or NMR spectroscopy at high-resolution level to be an important factor in protein function, recognition, folding and stability [1] . The most precise information about the protein structure can be obtained using X-ray crystallography or multidimensional NMR spectroscopy. However, high-resolution studies of protein are not always feasible. The question arises to what extent can the relatively static structures of proteins in crystal environment represent the protein conformation in a complex and dynamic surroundings of living cell. In vivo most of the proteins make dynamic complexes with other cell constituents such as biological membranes, nucleic acids or polysaccharides. NMR enables a somewhat better flexibility in studying the protein structure in more relevant biological environments. However, the interpretation of NMR spectra of very large proteins with the molecular weights round 20 kDa is at present time very complex. So the practical limitations in high structural studies of proteins stimulate the progress in improvement of “low resolution” spectroscopic techniques as circular dichroism, Raman and infrared spectroscopy.
Infrared spectroscopy is, among other spectroscopic techniques, the most powerful and precise one for detecting hydrogen bonds[2, 3] and concomitant changes in their surroundings and is invaluable for studying dynamics of hydrogen atoms in hydrogen bonds [3-8]. It has played a pioneering role in studying the conformations of peptides, polypeptides and proteins [9], while it offers a view on the conformation and dynamics of proteins, but in practice it can be difficult to localize structural changes of individual groups. This problem stems from the existence of strong overlapping between the vibrational bands of the many similar groups in protein and broad absorption due to vibrations of H2O molecules.
However, experimental spectra and theoretical calculations showed that the structure of Amide I, II and III bands depend on the population of the secondary structure elements in protein [10-23] . Because of the small frequency difference between these intrinsic bands, very strong overlapping takes place. A widely used approach to extract information, connected to a protein secondary structure determination, is linked to the two computational procedures, i.e. second derivatives [24] and Fourier deconvolution [25]. Despite their apparent simplicity, the mentioned procedures for band narrowing present a number of experimental problems . In particular, both techniques amplify the noise significantly, and noise can be easily misinterpreted as a real band. Therefore the degree of band narrowing is limited by the signal to noise ratio of the spectrum. Only the spectra with very high signal to noise ratio and with completely absence of absorption bands due to atmospheric water vapour can be treated in mentioned manner. Since the results obtained from deconvolution and second derivative spectroscopy are used as an input for band fitting algorithm, the relevance of input parameters is of great importance.
The protein used in our study is bovine serum albumin (BSA), i.e. protein, which is among the most studied and is of a current use in biochemistry. It is the most abundant protein in blood plasma and serves as a depot, as well as transport protein for numerous compounds, as long chain fatty acids or bilirubin, which are bound with a high affinity to the protein. The secondary structures of these proteins, which have many cysteine residues, are helical for a great part. Optical rotatory dispersion [27], infrared spectroscopy [28, 29], Raman spectroscopy [30] and circular dichroism [31] measurements suggest that the a-helix content of BSA in buffer solution is 54%, 55%, 55%-60% and 68%, respectively. It was suggested [32] that the helical parts of BSA are uniformly placed into the six subdomains, which represent the principal elements. Each subdomain further consists of three helices. That means that most of the residues in the long loops and the sections connecting the domains probably are forming a-helices, whereas the intradomainal hinge regions are mainly nonhelical. Detailed tertialy structure determined by X-ray is known only for a homologous human serum albumin (HSA) [33-35]. Compared sequences of human and bovine albumin and found to be of striking homology (round 80% [32]). Furthermore, the differences observed are mainly of a structurally conservative nature, e.g. hydrophobic amino acids are replaced by other hydrophobic amino acids and not by polar ones.
In order to determine the structural changes in BSA molecule, we studied the hydration of BSA cast film and solutions in phosphate buffer, using classical methods of resolution enhanced techniques and infrared difference spectroscopy. The effects of hydration on BSA molecules will be compared to ones of BSA dissolved in phosphate buffer.
Experimental
BSA (MW= 66 kD) was used without purification. Films were prepared from the BSA solution in phosphate buffer (0.4 g/ml, pH = 7.5). A film density was determined with a picnometric method (r =1.51 g/cm3). Self-standing films, used for evaluation of a thickness calibration curve, were prepared on teflon-coated aluminium (Figure1). For calibrating the film thickness, the spectral area between 3003 and 2887 cm-1 (with linear baseline between 3003 and 2887 cm-1)was used. These narrow bands are due to methyl and methylene vibrations of protein side-chains (Figure 2). Because of their moderate intensity and very weak overlapping with bands sensitive to hydration (NH stretching) are very suitable for calibration standard. The thickness of self-standing films was calculated from interference fringe. For this purpose an empty liquid cell with CaF2 was used. Instead of teflon spacer, three pieces of protein film were put between windows. To ensure homogeneity of film thickness, only those interference spectra with intense fringes were used for further thickness calculations. Each calculated thickness is average of several independently measured experimental spectra with different part of films used as spacers. To avoid the saturation of an Amide I band, which is the most intense band in a spectrum, only the films with the thickness between 0.8 and 4.0mm were used. For thicker films the decreasing of an Amide I intensity relative to an Amide II band was observed. Between 0.8 and 4.0mm the intensity ration is almost constant (~ 1.5 for dried BSA films) and depends slightly on a quality of prepared films. In spectra of films thicker than 4.5mm the intensity ratio rapidly decreases and at 8mm are intensities of Amide I and II bands of comparable height. Concomitant with the change of intensity, the Amide I and II bands significantly change their shape. They become broader with characteristic rounded region on a top of the peaks. However, these are only observed changes and the rest of spectrum is identical to those of thinner films. Since the Amide I and II are the most intense in the whole spectrum, we attributed these changes to saturation effects of MCT detector.

Figure 1. The thickness calibration curve (solid line) with the 95% confidential bands (dot lines). For calibrating the film thickness, the spectral area between 3003 and 2887 cm-1 of methyl and methylene vibrations of protein side-chains (with linear baseline between 3003 and 2887 cm-1) was used. The calibration curve may be approximated with the expression : y=0.02938.x;
For hydration studies films cast on ZnSe windows were used. Cast films are compared to self-standing ones mechanically more stable and are not sensitive to twisting induced by hydration of the film. The thickness of cast films was determined from the calibration curve. For hydration measurement a homemade hydration cell was used. The hydration cell resembles to short path length gas cell with a holder for self-standing and/or cast films on transparent windows. Various steps of hydration were achieved with bubbling dry nitrogen true water (H2O and/or D2O) and inserting such humidified nitrogen inside the hydration cell. Hence, a recorded spectrum is superposition of a pure hydrated protein film spectrum and a spectrum of atmosphere (moisturised nitrogen) used for film hydration. Relative humidity inside hydration cell was determined with subtraction of the reference spectrum of water vapour with known relative humidity from the original spectrum of protein film in hydration cell. BSA solutions used for ATR measurements were prepared by adding appropriate amount of phosphate buffer (10 mM) to already prepared solution (0.4 g/ml) in order to obtain several different concentrations in the range from 0.2 % (w/v) to 4 % (w/v). The last concentration of BSA solution was the highest one, where we succeed to fill an ATR cell without bubbles, which appeared readily due to high viscosity of the solution. For the ATR measurement we used adapted Specac CIRCLE ATR cell with ZnSe rod crystal. The length of the crystal, which is exposed to measured liquid, was shortened to avoid saturation effects, especially in the case of strong absorbing species as water, various buffers and dilute water solutions. Details on alignment of the cell, as well as determination of the number of reflections is described elsewhere [36]. Optical constants (n and k) were calculated using the procedures proposed by Bertie and Eysel [37] and Bertie and Lan [38]. The spectra were recorded from 650 cm-1 to 8500 cm-1. The missing part of spectrum between 0 cm-1 and 650 cm-1 due to ZnSe absorption, was replaced with a linear descending function.
Infrared spectra were recorded on Nicolet – Magna – 760 FTIR spectrometer equipped with a liquid nitrogen cooled MCT detector. Typically 128 interferograms (films) and 1024 interferograms (buffer solutions) were collected and apodised with Happ-Ganzel function. The spectral resolution is 2 cm-1. Raman spectra were recorded on Perkin-Elmer 2000 spectrometer with spectral resolution of 4 cm-1. A DPY laser with excitation wavelength 1064 nm and nominal power between 100 and 300 mW was used throughout. Typically 1024 interferograms were averaged and apodised with a Happ-Genzel function.
The overlapping bands were deconvolved and derivatized with commercial Nicolet (Omnic) software. For band fitting Razor and Grams program package was used. A sum of Gaussian and Lorentzian function was used throughout. Other functions were also examined but the results were inferior. Halfwidths, intensities, frequencies and the part of both functions were allowed to vary in iteration process. The initial values for band intensities and frequencies were derived from the deconvolution and second derivative spectroscopy.
An Infrared and Raman spectrum of BSA
Assignation of vibrational bands in proteins is based on normal coordinate analyses (NCA) of smaller peptides and polypeptides, where this kind of analyses is feasible and trustworthy. Such model compound is N-methyl acetamide (NMA). It derives it importance from the fact that it is the smallest molecule containing a trans peptide group. A study of this molecule [19, 39-42], therefore, provides important insights into the nature of the so-called amide modes of peptide group:
A NH stretch is localised mode. Usually it appears as a doublet called as Amide A and Amide A’ (or sometimes Amide B), respectively. The other interacting components are either the overtone of Amide II mode or a combination band. In hydrated state and/or in water solution the NH stretching is partially screened with OH stretching of H2O molecules.
The Amide I mode is primary a C=O stretching band. It may have some contributions from CN stretching and CCN deformation. The Amide II mode is an out-of-phase combination of largely NH in plane bending and CN stretching and smaller contributions from C=O in-plane bending and NC stretching. The Amide III mode is the in-phase combination of NH in-plane bending and CN stretching. Less intensive is contribution from CC stretching and CO bending.
Other Amide modes (from IV to VII) are less intensive in both infrared and Raman spectra and therefore not practical for conformation study. These modes are mainly due to in and out-of plane deformation vibrations of amino groups, strongly coupled, and less sensitive to conformational changes. Presented NCA was done for infrared spectrum. When Raman selected rules are applied, similar contributions of various normal coordinates can be found in selected modes with only one exception: The relative intensity of Amide bands is strongly altered compared to those in infrared. The example of Raman spectrum is presented in Figure 2, where can be directly compared with the infrared spectrum.

Figure 2. The IR spectrum of dried BSA cast film (upper spectrum) and Raman spectrum of BSA solution in phosphate buffer (lower spectrum). A spike in Raman spectrum is marked by an asterix.
A NH stretching region round 3200 cm-1in the infrared spectrum of BSA film (Figure 2, top spectrum), is usually strongly overlapped with the OH stretching band of hydrating H2O molecules. Separation of these two bands with different origin is rather difficult and partially possible only when all bands of NH (Amide I, Amide II and Amide III) and H2O (HOH deformation) are taking into account [5, 6]. Near NH and OH stretching region lies Amide A’ band (~ 3070 cm-1), which is completely detectable only in lower hydrates. Otherwise, it is screened with much intense and broader NH2 and H2O stretching bands. Lower wavenumber region starts with very intensive Amide I band. In the spectrum of BSA is this band centred at 1657 cm-1, with pronounced asymmetric shape, which indicate fine structured Amide I band.
The deformation motion of the NH groups have dominant contribution in next band near 1550 cm-1 assigned as Amide II. Further bands in infrared spectrum are less intensive and belong to additional vibrations of amino groups and side chains. For secondary structure determination is very important Amide III band in the region near 1300 cm-1, which is also structured.
In the Raman spectrum (bottom spectrum in Figure 2), the Amide bands can be found almost at the same positions as in the infrared one. They differ only in relative intensity. Two major modes dominate the spectrum; Amide I and Amide III. Both bands are structured with components, which frequencies depend on the conformation of protein backbone. Since their high intensity and S/N ratio, are very practical for further mathematical exploitation.
Decomposition of the Amide I band
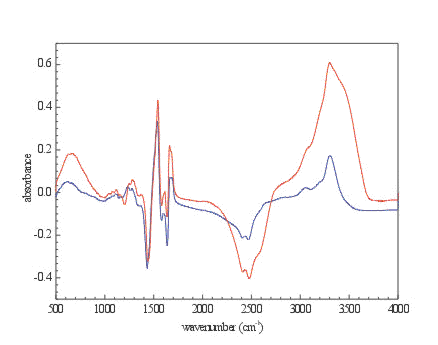
For secondary structure determination, we used standard approach described in References 11, 15, 21, 43 and 44. Frequencies of intrinsic band components (Table 1.) were resolved using second derivative and Fourier deconvolved spectra. Since we are aware, that using mentioned resolution enhancement techniques can easily lead us to misinterpret the real component with the noise, we use a novel approach to define the initial number and position of the intrinsic band components. It is based on the shift of the Amide I band components due to the hydrogen/deuterium exchange. The frequency of the CO stretching of the Amide I band is sensitive to the environment, as well as on the coupling with other modes. We alter the surroundings of CO groups by exchanging the NH groups with ND and H2O molecules, which may hydrate CO groups with HDO and D2O. Described changes, which induce frequency shift of the Amide I band, are usually very small. However, they can be detected by difference spectroscopy. The proposed procedure for determination of the number of components with its approximate position is as follows. First, we record a spectrum of hydrated (with H2O) and dry protein film. After drying, we hydrate the protein film with D2O molecules. With hydrating the protein film with D2O we first, established the D2O protein hydrogen bonds and second, we allow all exchangeable hydrogen atoms (a certain population of hydrogen atoms in the protein can not be exchanged) to exchange with deuterium atoms. When no further improvement of the ND/NH band ratio, which may serve as indicator of exchange efficiency, can be achieved, the spectrum of fully hydrated and partially exchanged protein film is recorded. Drying of the partially exchanged protein film follows hydration and exchange with D2O. In such way, we obtain four different protein spectra: a dry and fully hydrated with H2O and dry and fully hydrated and partially exchanged with D2O. In order to eliminate the constant spectral contributions, we subtract the spectrum of dry protein film with the spectrum of dry but with partially exchanged hydrogen atoms (Figure 3 blue spectrum) and fully hydrated with H2O with fully hydrated with D2O (Figure 3 red spectrum).

Figure 3. The difference spectra of dry native protein film spectrum and dry partially H/D exchanged protein film spectrum (blue spectrum) and fully hydrated protein film spectrum with H2O and fully hydrated protein film spectrum with D2O (red spectrum).
The first spectrum represents the dry hydrogen deuterium exchange in the protein film. The blue spectrum represents only the impact of the exchange of exchangeable hydrogen atoms with the deuterium atoms. Similar effects can be observed also in the red spectrum with some additional features due to the absorption of the H2O and D2O molecules. The final step of the procedure is subtraction of both difference spectra. A resulting spectrum is presented in Figure 4. With last subtraction, all constant parts of the spectra, which have been affected neither by exchange nor by hydration, are eliminated. Hence, in the last difference spectrum we can find only the bands, which are due to H2O and D2O absorption, and bands which are affected by exchange directly (NH to ND, Amide II) and indirectly (Amide I) by change of coupling and surrounding. This later can be observed as shoulders in the OH deformation band and corresponds to the different components of the Amide I band.

Figure 4. The difference spectrum of blue and red spectrum from the figure 2.
For the determination of the secondary structure of the BSA dissolved in buffer solution, the use of Raman spectroscopy is much more convenient comparing to infrared. In Raman spectrum appears only a weak overlapping between the Amide I band and H2O bending vibration (d OH), so we can use normal water instead of deuterated one. In spite of weak intensity of d OH band, before a parameter determination from a Raman spectrum, subtraction of a spectrum of bulk buffer solvent was utilized. Nevertheless, subtraction did not alter the Raman Amide I band significantly.
For determination of the secondary structure of the BSA in the form of films, several films with different amount of H2O molecules were used. In all used films a moderate overlapping between the Amide I and H2O bending band appears. The elimination of later band is not an easy task, while the exact spectrum of buried H2O molecules, as well as the spectrum of hydrating H2O molecules, are not known in details. As a substitute for the revealed subtracting spectra, the evaporation spectrum of the very last step of film hydration was used. The evaporation spectrum represents the difference spectrum of two differently hydrated protein films. Since we subtract two spectra at high hydration level only bands due to H2O vibration can be found in the evaporation spectrum [6]. Such spectrum is presented in Figure 6c. It has been noticed that this spectrum serves as the best approximation for several types of H2O molecules in the spectrum of hydrated protein [5, 6]. Concomitant with the subtraction of H2O stretching band, which was used together with the libration band as reference band, the intensity of Amide I band decrease as a result of water bending elimination. The change of the Amide I band is very small in the case of dry or lower hydrates and becomes more pronounced only at higher hydrates (several percents of the Amide I intensity). As an independent check of the secondary structure of the BSA in the form of films, as well as the reliability of the H2O subtraction, spectra of BSA hydrated with D2O were used. Although are the components of Amide I bands slightly shifted to the lower wavenumbers, the number of bands and its relative intensities are the same as in the spectra of hydrated BSA with H2O.
A band fitting procedure, based on maximum entropy algorithm, was used to fit the band components (Figure 5), which numbers, frequencies and starting relative intensities were determined with second derivatives, Fourier deconvolution and H/D exchange. After minimization areas of individual components were computed and compared to the area of the whole Amide I band. Areas in % of the whole Amide I band together of the shape of the curves used during fitting are presented in Table 1.

Figure 5. Mathematically enhanced absorbance spectrum of dried BSA film. The red curve represents second derivatives and the blue curve the Fourier deconvoluted spectrum. At the bottom the curve fitted spectrum with band components in Amide I and II region is presented (c2 =7.306, standard error fit =0.0014).
| Infrared spectrum of dried BSA cast film | ||||
| position | halfwidth | intensity | area | assignation |
| 1715 | 31 | 0.03 | 0.9 | COOH |
| 1683 | 31 | 0.41 | 13.5 | CO..HN, turns |
| 1656 | 32 | 1.04 | 36.5 | CO..HN, a-helix |
| 1636 | 17 | 0.12 | 2.2 | CO..HN, turns |
| 1623 | 28 | 0.29 | 8.7 | CO..HN, turns |
| 1595 | 33 | 0.25 | 8.8 | |
| Raman spectrum of BSA solution in phosphate buffer | ||||
| position | halfwidth | intensity | area | assignation |
| 1677 | 30 | 0.4 | 13.1 | CO..HN, turns |
| 1653 | 26 | 1.4 | 45.8 | CO..HN, a-helix |
| 1632 | 18 | 0.3 | 5.7 | CO..HN, turns |
| 1623 | 14 | 0.2 | 4.8 | CO..HN, turns |
| 1616 | 7 | 0.16 | 1.2 | CO..HN, turns |
| 1605 | 17 | 0.4 | 10.2 | |
Table 1. Band positions (cm-1), halfwidths (cm-1), intensities (a.u.) and areas of Amide I band components calculated with a curve fitting procedure for dried BSA cast film (infrared spectrum) and solution in phosphate buffer (Raman spectrum).
Four components can be found in the Amide I region in the infrared spectrum of BSA film (~ 1680 cm-1, 1657 cm-1, 1637 cm-1 and 1622 cm-1), as well as in Raman spectrum of BSA buffer solution. The frequencies of all four bands are in the later spectrum slightly shifted to lower wavenumbers. Another difference comparing the infrared and Raman spectrum in the Amide I region, is absent of the band at 1715 cm-1 in the later one. This band is assigned to the vibration of COOH groups of protein side-chains. The possible reason of disappearing the COOH stretching band may lay in fact that when the protein is in aqueous environment, all COOH group are hydrated; therefore the stretching band of carboxyl groups is shifted to lower wavenumbers.
An Amide I band centred between 1650 cm-1 and 1658 cm-1 is generally considered to be characteristic of the a-helical structures. This assignment is supported by theoretical calculations [14, 20, 45, 46], and experiments with a large number of a-helical peptides and proteins [11, 15, 21, 43, 45, 47, 48] . Hence, we attributed the main band in the Amide I region to the vibration of a-helical secondary structure of BSA. The proportion of a-helical element is determined as 58.3 % (dry infrared spectrum) and 64.7 % in films (Raman spectrum) and in solution, respectively. Similar proportion of a-helix structure in solution can be computed from IR spectra (66.2 %, not shown in Table 1). The calculated values are in rough agreement with previously published analyses of BSA secondary structure in solution using optical rotational dispersion, infrared and Raman spectroscopy, as well as CD measurements [27-31, 44]. The frequency of the a-helix Amide I band component is in the spectrum of BSA film at higher wavenumber (1656 cm-1) than in the spectrum of solution (1653 cm-1). It should be noted that the absorption of a-helical structure is sensitive to its environment [49]. Therefore, the difference in frequency can be attributed to the solvent effect of surrounding buffer, which lower the band frequency maximum. The amount of calculated a-helix segment in BSA in solution is slightly greater than in cast films. Similar differences between the a-helical content in BSA solution and powder were observed by Chen and Lord [30]. Difference between populations is small indeed, and almost comparable to the uncertainty of a-helix determination [47, 50]. However, it can serves as indicator of possible structural changes of BSA molecule.
Assignation of other components in the Amide I region is not so straightforward. We can find at least two adequate origins (explanations) of remainder components. In general, Amide I bands in the spectral region between 1620 cm-1and 1640 cm-1 can be attributed to b-sheet structures [15, 21, 51]. Frequencies of these bands depend on hydrogen bonding strength in b-sheet structures, as well as on coupling of transition dipoles [15]. In general an antiparallel b-sheet structure can be further identified by the presence of another band in 1670 cm-1– 1695 cm-1 region. However, this usual weak component can be overlapped with the bands, which belong to vibrations of various types of turns and random coil [52]. In the spectra of BSA film and BSA solution, we can find three bands near 1620 cm-1, 1630 cm-1 and 1690 cm-1 (see Table 1.), which can be attributed to the vibration of antiparallel b-sheet. Second, alternative explanation of the origin of these bands is, that first two bands belong to random coil conformation (protein part, which spans the helices between subdomains) and the last one to turns. That would mean that BSA molecule contains no antiparallel b-sheet structure at all, similar as it was predicted by calculation of McLachan and Walker [53]. This explanation is more feasible, while it is consistent with the structure of highly homologous human serum albumin (HSA). From the analogy with the known structure of HSA, the long loops and the peptide part, which connect the three domains, are probably forming a-helices, whereas the intradomainal hinge regions are mainly composed of random coils and turns. A structure of an Amide III band assists to get some additional explanation of the Amide I band components at high and low frequencies. Two bands at round 1290 cm-1 and 1244 cm-1 are characteristic for that region. First one is specific for vibration of a-helices and other for random coil conformation of proteins [45]. Belloco et. al. [54] and Chen & Lord [30] in the Raman spectrum, as well as Krimm & Tabbs [13] in the infrared spectrum of native BSA also observed two bands in the Amide III region near 1280 cm-1 and 1244 cm-1 and ascribed them to vibrations of a-helices and random structure, respectively.
In summary, BSA is protein with mainly a-helix secondary structure elements (~58 % in the form of films, 64% in buffer solution). The proportion of a-helix secondary structure is not affected significant by film formation or solvation in phosphate buffer. From the vibrational spectrum is not possible to determine the structure of the non-helical protein part unique. It has two feasible conformations, which can fit band components. First one consists of antiparallel b-sheet structures and other with random coil and turns. Because of strong overlapping of these bands in a very narrow frequency region, is at present time impossible to exclude one of both possibilities, as well as determine their proportion with respect to the whole protein. Comparison of the secondary structure of BSA with the structure of homologues HSA supports a structure with random coil and turns.
Described determination of the protein secondary structure is usually not accurate enough to follow conceivable small structural changes induced by hydration. Even the use of more decisive approaches, which take into account also the bands due to protein side chain vibrations [22, 23], or alternative procedures, which involves factor analysis of IR spectra of proteins, with the known X-ray structures [47], do not give the expected accuracy. The latter method gives the standard errors of prediction of secondary structure element from 3.9 % for a-helixes to almost 8.3 % for b-sheets [47, 50] and these errors might be higher or at least comparable to the presumably small changes in secondary structure which are expected to be induced by hydration.
The recent study of hydration of protein films warns up even more seriously about the interpretation of structural changes in the region of Amide bands [5,6]. From the infrared spectrum of proteins can be determined with now assumption only the type of interaction and partially its strength. We can distinguish between the different types of hydrogen bonds, which take place in the protein, as well as their approximate strength. However, the infrared spectroscopy is still very sensitive to the change of the hydrogen bonds network and hence also to the change of the secondary structure of the proteins.

Figure 6. Three different types of evaporation spectrum (the spectrum of dry protein film is subtracted from the hydrated one), which correspondent to different stages of protein hydration. a. initial hydration (relative humidity between 0 and 20 %), b. hydration with medium humidified air (20%-75%) and c. strong hydration (relative humidity higher than 75%).
To check the structural changes due to hydration of the protein determined with mathematical methods also the difference spectroscopy is applied. First we examine the changes in the spectra of stepwise hydrated cast films. Three typical difference spectra can be found in the range of hydration between 0% and 98% of relative humidity (Figure 6). In the beginning of hydration (Figure 6a) Amide I and II bands are strongly influenced by hydration. In Amide I region the high frequency components shifts to frequencies, which are characteristic for a-helices (1651 cm-1). Corresponding shift to higher frequencies appears in Amide II region. Similar but not so intensive changes can be observed also in the second stage of hydration (Figure 6b), where the relative humidity varies from 20% to 75 %. At strong film hydration (Figure 6c) mainly the bands due to vibration of hydration H2O molecules are present in difference spectrum with almost no changes in the regions characteristic for protein vibrations. From these three spectra we can summarize, that the preparation of cast film from buffer solution and further drying caused slight denaturation of the protein. With stepwise hydration we induce rebuilding of the protein secondary structure, mainly in the region of a-helices. The most prominent changes can be observed at the beginning of hydration. Although the intensity of rebuilding the solution structure of BSA vanished at the third stage of hydration, there are still remarkable differences between the spectrum of the most hydrated cast film and protein solution in phosphate buffer. This difference spectrum is presented in Figure7. Since we used ATR spectroscopy equipment to record the solution spectrum, we have first to calculate the optical constants. From optical constants n and k, the real absorption spectrum can be calculated, with no disturbances due to reflection. Such treatment is essential to obtain the reliable differences in structure.

Figure 7. A difference spectrum between dried BSA cast film and calculated absorbance spectrum of BSA dissolved in phosphate buffer
From the Figure 7. it is clearly shown, that even at the highest relative humidity some parts of the protein are still not hydrated. In particular, some COOH groups are hydrated only in buffer solution, manifested by the shift of carboxylate stretching to the lower wavenumber. Similar changes can be observed also in the Amide I and Amide II bands. Both bands gain the intensity in the regions, which are characteristic for a-helices formation. With comparing the intensity change in these regions we can roughly estimate that the change of a-helix population is round 6 %. This number is very close to one previously calculated from the band fitting procedure. Hence, we got with Fourier deconvolution, second derivatives, D/H exchange and band fitting algorithm quite trustworthy results. However, when we are interested in more details, we must use the difference spectroscopy, which is, when it is properly used, more precise [5, 6].
Acknowledgements
This work was supported by the Ministry of science and Technology of the Republic of Slovenia. Part of this work was done in CEA/PCM/DRFMC Grenoble, France. The author wishes to thank Commisariat à l’Energie Atomique for financial support and Dr. Yves Maréchal for stimulating discussions.
References
- Westhof E. Water and Biological Macromolecules (CRC Press, Boca Raton, 1993).
- Pimentel G. C., McClellan A. L. The Hydrogen Bond (W. H. Freeman, San Francisco, 1960).
- Hadzi D., Bratos S. The Hydrogen Bond; Recent Developments in Theory and Experiments (eds. P. Schuster, G. Zundel , Sandorfy, C. C.) (North Holland, Amsterdam, 1976).
- Mavri J., Grdadolnik J., J. Phys. Chem. 105, 2039-2044 (2001).
- J. Grdadolnik, Y. Maréchal, Biopolymers (Biospectroscopy) 62, 54-67 (2001).
- J. Grdadolnik, Y. Maréchal, Biopolymers (Biospectroscopy) 62, 40-53 (2001).
- Maréchal Y. Vibrational Spectra and Structure (ed. Durig, J.) (Elsevier, Amsterdam, 1987).
- Bratos S., Lascombe J., Novak A. Molecular Interactions (eds. H. Ratajczak, Orville- Thomas, W. J.) (Willey, New York, 1980).
- Sutherland G. B. B. M., Protein. Chem. 7, 291-318 (1952).
- Byler D. M., Susi H. in SPIE 1985, Fourier and computational infrared spectroscopy 289- 290 (1985).
- Byler D. M., Susi H., Biopolymers 25, 469-487 (1986).
- Dwivedi A.M., Krimm S., J. Phys. Chem 88, 620-627 (1984).
- Durig R. (ed.) Infrared Spectra of Globular Proteins in Aqueous Solution(Reidel, Dordrecht, 1979).
- Eckert K., Grosse R., Malur J., Repke K. R. H., Biopolymers 16, 2549-2563 (1977).
- Haris P. I., Chapman D., Biopolymers 37, 251-263 (1995).
- Jackson M., Mantsch H. H., Can. J. Chem. 69, 1639-1642 (1991).
- Kalnin N. N., Baikalov I. A., Venyaminov S. Yu., Biopolymers 30, 1273-1280 (1990).
- Krimm S., J. Mol. Biol. 4, 528-540 (1962).
- Miyazava T., Blout E. R., J.Chem. Soc. 83, 712-719 (1960).
- Miyazawa T., J. Chemical Physics 32, 1647-1652 (1960).
- Susi H., Byler D. M., Biochemical and Biophysical Research Communications 115, 391- 397 (1983).
- Venyaminov S. Yu., Kalnin N. N., Biopolymers 30, 1243-1257 (1990).
- Venyaminov S. Yu., Kalnin N. N., Biopolymers 30, 1259-1271 (1990).
- Lee D.C., Herzyk E., Chapman D., Biochemistry 26, 5775-5783 (1987).
- Surewicz W. K., Mantsch H. H., Stahl G. L., Epand R. M., Proc. Natl. Acad. Sci. USA 84, 7028-7030 (1987).
- Surewicz W. K., Mantsch H. H., Chapman D., Biochemistry 32, 389-394 (1993).
- Sogami M., Foster J. F., Biochemistry 7, 2171-2182 (1968).
- Kato K., Matsui T., Tanaka S., Appl. Spectrosc. 41, 861-865 (1987).
- Baello I.B., Pancoska P., Keiderling T. A., Analitical Biochemistry 280, 46-57 (2000).
- Chen M. C., Lord R. C., J. Am. Chem. Soc. 98, 990-992 (1976).
- Reed R. G., Feldhoff R. C., Clute O., Peterson Jr. T., Biochemistry, 4578-4583 (1975).
- Brown J. R. Serum Albumin:Amino Acid Sequence (eds. V. M. Rosenoer, M. Oratz , Rothschild, M. A.) (Pergamon Press, Oxford, 1977).
- Kim K., Kauzmann W., J. Phys. Chem. 84, 163-165 (1980).
- Carter D. C., He X. M., Munson S. H., Twigg P. D., Gernet K. M., Broom M. B., Miller T. Y., Science 244, 1195-1198 (1989).
- Carter D. C., He X. M., Science 249, 302-303 (1990).
- Maréchal Y., J. Chem. Phys. 95, (1991).
- Bertie J. E., Eysel H. H., Applied Spectroscopy 39, 392-401 (1985).
- Bertie J. E., Lan Z., J. Chem. Phys. 105, 8502-8514 (1996).
- Jakes J., Krimm S., Spectrochimica Acta A29, 35-63 (1971).
- Jakes J., Krimm S., Spectrochimica Acta A27, 19-34 (1971).
- Miyazava T., J. Chem. Phys. 29, 246-248 (1958).
- Miyazava T. in Poly-a-Amino Acids (ed. Fasman G. D.) 69-103 (Marcel Dekker, New York, 1967).
- Surewicz W. K., Mantsch H. H., Biochim. Biophys. Acta 952, 115-130 (1987).
- Williams R. W., Dunker A. K., J. Mol. Biol. 152, 783-813 (1981).
- Bandekar J., Biochim. Biophys. Acta 1120, 123-143 (1992).
- Krimm S., Bandekar J., Adv. Prot. Chem. 38, 181-264 (1986).
- Haris P. I., Chapman D., Trends in Biochem. Sci. 17, 328-333 (1992).
- Yang W. J., Griffiths P. R., Byler D. M., Susi H., Applied Spectroscopy 39, 282-287 (1985).
- Jackson M., Haris P.I., Chapman D., Biochemistry 30, 9681-9686 (1991).
- Lee D. C., Haris P. I., Chapman D., Mitchell P. C., Biochemistry 29, 9185-9193 (1990).
- Susi H., Byler D. M., Arch. Biochem. Biophys. 258, 465-469 (1987).
- Torii H., Tasumi M., J. Chem. Phys. 96, 3376-3387 (1992).
- McLachlan A. D., Walker J. E., Biochim. Biophys. Acta 536, 106-111 (1978).
- Belloco A. M., Lord R. C., Mendelsohn R., Biochim. Biophys. Acta 257, 280 (1972).
Received 12th December 2001, received in revised format 24th January 2002, accepted 24th January 2002.
REF: J. Grdadolnik., Int. J. Vib. Spect., [www.irdg.org/ijvs] 6, 1, 6 (2002)
